Monday, March 9, 2026
Google search engine
Homeఇంటర్నేషనల్Massive Property Tax Irregularities Surface in GHMC Saroornagar Circle

Massive Property Tax Irregularities Surface in GHMC Saroornagar Circle

Hyderabad

Officials who aggressively pursue small taxpayers for minor dues appear to be turning a blind eye to large-scale property tax evasion by influential commercial establishments. A major irregularity that has surfaced in GHMC Saroornagar Circle–5 has now raised serious questions about corruption and administrative failure within the civic body.

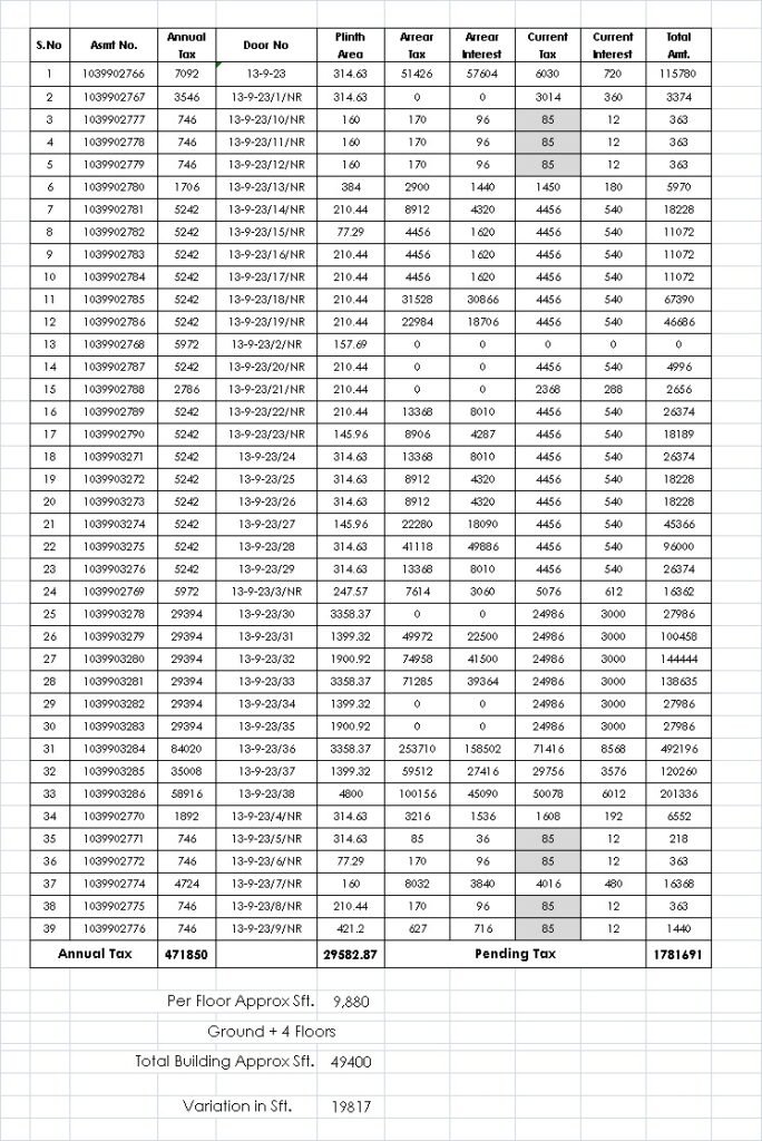
20,000 Sq. Ft. Construction Allegedly discrepancy

At the center of the controversy is a large commercial complex located on a major road within the Saroornagar Circle. According to sources familiar with the matter, the actual built-up area of the property is estimated to be around 49,400 square feet.

However, municipal records reportedly show the property area as only 29,582 square feet. This indicates that nearly 20,000 square feet of construction has allegedly been underreported, enabling the property owner to evade a significant amount of annual property tax and causing a substantial loss to the government exchequer.

Allegations Against Municipal Officials

Sources within the municipal office allege that the irregularities were facilitated by an In-charge Assistant Municipal Commissioner (AMC) along with certain tax officials. Instead of ensuring proper tax collection, the officials are accused of maintaining close ties with the property owner.

There are also allegations that the AMC and some tax inspectors frequently attend private gatherings hosted by the property owner, where lavish dinners and drinking parties allegedly take place.

Officials within the department claim that the entire arrangement continues with the tacit approval of a senior officer (Deputy Commissioner – DC), who is said to be aware of the situation but has not taken action.

Serious Allegations of Financial Misappropriation

In a particularly alarming allegation, sources claim that ₹5 lakh was once collected in cash from the property owner towards property tax dues. However, only ₹2 lakh was deposited into the official government account, while the remaining ₹3 lakh was allegedly misappropriated by the officials involved.

If proven true, this could point to a deeply entrenched corruption network within the tax administration of the municipal corporation.

Administrative Silence Raises Questions

Despite the irregularities reportedly coming to light months ago—particularly in relation to the Mansoorabad assessment—there has been no visible disciplinary action.

This has led to growing questions about the role of Zonal Commissioner Hemanth Patel, with citizens and local taxpayers demanding to know why strict action has not been initiated.

Ordinary Taxpayers Face Delays

Residents allege a stark contrast in how the system treats different sections of society:

Applications submitted by ordinary taxpayers often remain pending for months or even years despite complete documentation.

In some cases, applications are reportedly rejected without clear justification.

However, insiders claim that when unofficial payments are made, approvals can arrive within a single day.

Thousands of applications reportedly remain pending in areas such as Gaddiannaram, forcing citizens to repeatedly visit municipal offices.

Demand for a High-Level Inquiry

Citizens and civic activists are now demanding a comprehensive audit of property tax assessments in Saroornagar Circle. They are also calling for strict disciplinary action against officials found responsible and the recovery of lost public revenue.

Observers say that unless higher authorities intervene and conduct an impartial investigation, the alleged tax evasion and corruption will continue to erode public trust in the municipal administration.

RELATED ARTICLES

LEAVE A REPLY

Please enter your comment!
Please enter your name here

- Advertisment -
Google search engine

Most Popular

Recent Comments